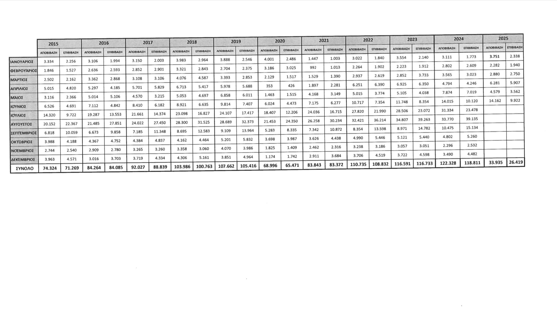
Συγκεκριμένα, τον Ιούνιο 2025 καταμετρήθηκαν 14.162 αποβιβάσεις, έναντι 14.015 τον Ιούνιο του 2024, δηλαδή, καταγράφηκε ασθενική αύξηση μόλις 147 επιβατών!
Η υποτονική μεταβολή αποδίδεται σχεδόν εξ ολοκλήρου, στην καθυστερημένη ανακοίνωση των θερινών ακτοπλοϊκών δρομολογίων, τα οποία, θυμίζουμε, γνωστοποιηθήκαν στα τέλη Απριλίου και τέθηκαν σε εφαρμογή από τα μέσα Μαΐου!!
Η καθυστέρηση αυτή, όπως ήταν αναμενόμενο, εμπόδισε την οργάνωση ταξιδιών, σε όσους ήθελαν να ταξιδέψουν στη Λήμνο τον Ιούνιο.
Η εικόνα γίνεται ακόμη πιο προβληματική όταν εξετάσει κανείς τον Μάιο του 2025, που παρουσίασε κάθετη πτώση σε σχέση με τον περσινό:
Τον φετινό Μάιο καταγράφηκαν 4.579 αποβιβάσεις, έναντι 7.874 τον Μάιο του 2024! Πτώση 41,8%!
Μάλιστα, ο φετινός Μάιος υποχώρησε και κάτω από τα επίπεδα του 2023, τότε που οι αφίξεις είχαν φτάσει τις 5.105!
Αντιστρόφως, ο Σεπτέμβριος του 2024, ο οποίος δεν είχε δοθεί πέρυσι στη δημοσιότητα, πήγε πολύ καλά!
Οι αποβιβάσεις έφτασαν τις 10.475, σημειώνοντας αύξηση 16,8% σε σχέση με τον Σεπτέμβριο του 2023 (8.971).
Τα στοιχεία αυτά, αν μη τι άλλο, πρέπει να μας προβληματίσουν ΤΩΡΑ.
Στη Λήμνο, τα τελευταία χρόνια, γίνονται επενδύσεις στον τουρισμό εκατομμυρίων, με νέες μονάδες, υποδομές υψηλών προδιαγραφών και υψηλών προσδοκιών.
Αν όμως δεν υπάρξει στρατηγική, έγκαιρος προγραμματισμός των δρομολογίων, η υπόθεση κινδυνεύει να μετατραπεί σε φούσκα η οποία θα σκάσει στα χέρια μας!
Γιατί χωρίς έγκαιρα δρομολόγια, επαρκή σύνδεση και στοχευμένο σχεδιασμό σε ένα νησί όπως είναι η Λήμνος, όπως γίνεται εύκολα αντιληπτό, καμία επένδυση δεν μπορεί να σταθεί και να αποδώσει!



























